漯河食品职业学院关于2022年转专业结果的公示
发布日期:2023-06-01 17:02 浏览量:

按照《漯河食品职业学院学籍管理规定》《漯河食品职业学院转专业规定》等文件要求,经学生个人申请,系部审核,学生处复核,报校领导审批同意,现将转专业结果予以公示。

公示时间:公示期六个工作日(2023年6月2日至6月7日)。

若有异议,请实名以书面形式向学校学生处反映,否则不予受理。

 地    点:M楼1楼106室

 电    话:0395-3265011(工作日9:00-17:00)

                                                                                                                                                                                学生处

                                                                                                                                                                          2023-06-01

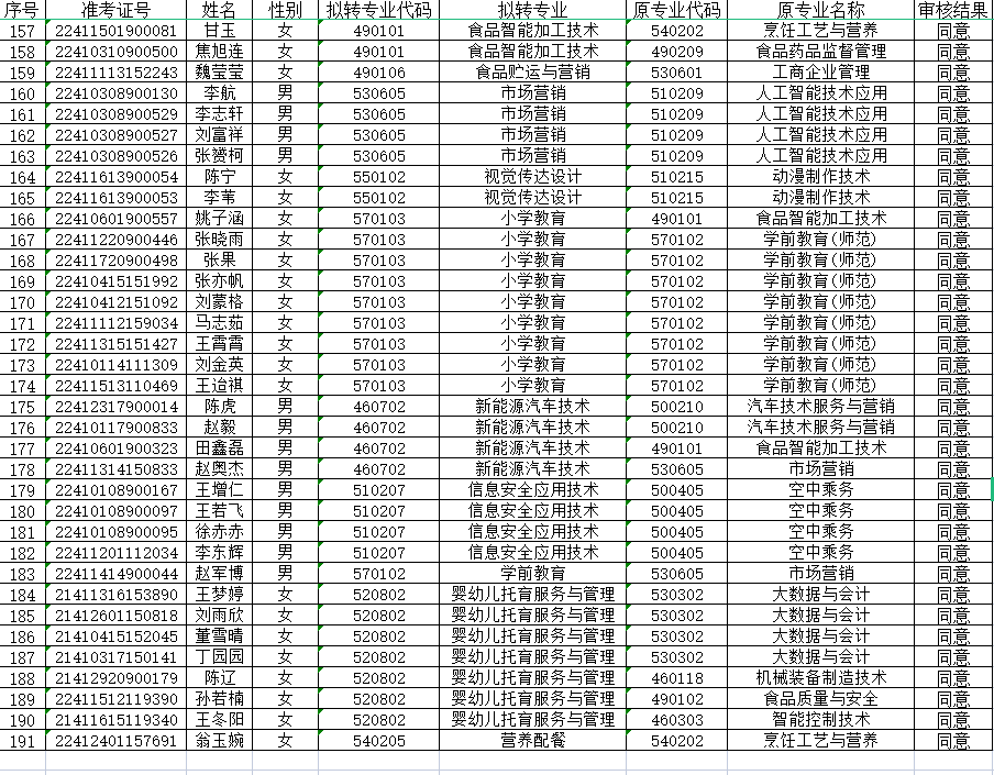
 附件: 2022年申请转专业结果公示

be7927095d015e528b9c9e18e1acb56.png

af72665884f8f37d164ae92075ee790.png

d991cfa082051244910d7eba8975fcc.png

a31e96767bdb3ea5b2806cd9dabeb16.png

bd36baa28e7535e2d57b43f6d502a3d.png





友情链接